河南 | 生態環境行政處罰推出“新規則” ,給出一套“裁量基準計算公式”
12月29日,省生態環境廳印發《河南省生態環境行政處罰裁量基準適用規則(修訂)》《河南省生態環境行政處罰裁量基準》,將從2021年1月15日起生態環境行政處罰實行“新規則”,執行“新基準”。
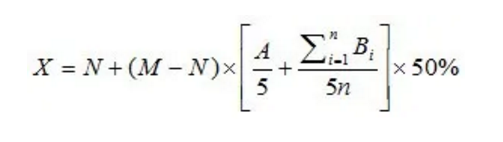
“新規則”之“新基準” 生態環境部門決定處罰金額時,首先確定裁量基準中各項裁量因素的裁量等級,再通過計算公式確定處罰金額,然后根據“新規則”調整決定處罰金額。 裁量基準計算公式:

若首要裁量因素同時有多個時,選擇裁量等級高的一個裁量因素作為首要裁量因素,其余的按Bi進行計算。罰款金額按照“四舍五入”取整到元。
“新規則”之“免予、從輕減輕或者從重”
生態環境行政處罰適用“新基準”確定處罰金額后,可以根據違法行為的性質、情節、危害程度等內容,綜合考量,依照本規則免予、從輕減輕處罰,或者從重處罰。 1. 未依法取得環境影響報告書、報告表批準文件的建設項目,先行建設未造成生態破壞或環境污染后果,且建設單位主動停止建設、自行關停或者恢復原狀的; 2. 建設項目未依法備案環境影響登記表,符合環境功能規劃,城鄉建設規劃和土地利用規劃,配套建設的污染防治設施已建成,并經責令改正后于5個工作日內按要求完成備案的。 3. 單位超過標準排放污染物,污染物單因子超標倍數≤0.1倍,次日完成整改并達標排放的; 4. 單位未按規定設置或者未規范設置危險廢物識別標志,生態環境部門首次發現指出后,立即改正的;不規范貯存危險廢物數量小于0.01噸,生態環境部門首次發現指出后當日立即改正,且未污染外環境的; 5. 單位不正常使用3臺以下焊機焊煙收集處理設施,生態環境部門首次發現指出后,立即整改的; 6. 重點排污單位環境信息未及時公開或者公開內容不全,生態環境部門首次發現指出后,按要求及時完成整改的(不含公開內容弄虛作假行為); 7. 違法行為在兩年內未被發現的(法律另有規定的除外); 8. 其他依法不予行政處罰的。 1. 排污單位因突發機械設備故障造成超過國家排放標準排放污染物,按照規程及時維修實現達標排放的; 2. 單位主動消除或者減輕生態環境違法行為危害后果的; 3. 受他人脅迫有生態環境違法行為的; 4. 配合生態環境部門查處生態環境違法行為有立功表現的; 5. 其他依法從輕或者減輕行政處罰的。 1. 兩年內因同類生態環境違法行為被處罰3次(含3次)以上的; 2. 重污染天氣預警期間超標排放大氣污染物的; 3. 在案件查處中對執法人員進行威脅、辱罵、毆打、恐嚇或者打擊報復,或者對舉報人、證人打擊報復的; 4. 生態環境違法行為造成跨市級以上(含市級)行政區域環境污染或者生態破壞的; 5. 生態環境違法行為引起3次以上查證屬實的環境信訪或產生較大負面社會影響的; 6. 轉移、隱匿、銷毀證據或者提供偽證,掩蓋違法事實的; 7. 單位環保信用級別為警示或不良的; 8. 其他具有從重情節的。
“新規則”之“調查取證”
執法人員應當以裁量規則和基準為指導,全面調取有關違法行為和情節的證據。提交行政處罰案件調查終結報告時,應當同時提供違法行為的定性證據、裁量因素證據。執法人員在案件調查取證中確因客觀因素未能調取到裁量基準中部分裁量因素的情節和證據,案件調查終結報告中應注明,計算處罰金額時不考慮該項裁量因素。
“新規則”之“法制審核”
如適用裁量未說明理由并附相應證據材料,或者隨附證據材料不足的,法制部門應退回執法人員補正。重大執法決定法制審核時,應當對案件的裁量情況和證據進行法制審核,并出具書面的法制審核意見;經集體審議的案件應當專門對案件的裁量情況進行審議,書面記錄審議結果,并隨案卷歸檔。
“新規則”之“突破裁量”
需突破裁量基準進行處罰的案件,應當經過案件辦理機關集體審議決定,并在案卷中附具理由、案件集體討論筆錄和證據材料。
“新規則”之“名詞解釋”
“兩年內未受到過同類處罰”中的“兩年內”,是指以當次行為發生之日為起算點往前追溯兩年。 “3個月以內或2次以下”中的“3個月以內”,是指違法行為持續時間。“2次以下”是指以當次行為發生之日為起算點往前追溯2年或1年內此種違法行為的發生次數。 “企業規模”中的“大中小微型企業”參照國家統計局《統計上大中小微型企業劃分辦法(2017)》認定,如有更新,按最新版本認定。 “排污超標狀況”存在多個污染因子超標的,以超標倍數最高的污染因子進行等級裁量;“小時煙氣流量”以超標當日在線小時煙氣流量最高值認定;“水日排放量”以超標當日在線污水排放量認定。 “突發環境事件分級”以《國家突發環境事件應急預案》中的“突發環境事件分級標準”認定;“輻射事故等級”按照《放射性同位素與射線裝置安全和防護條例》第四十條進行認定。 “新基準”中的“以上”含本數,“以下”不含本數。
